Choke afstelling Solex

05 sept 2025 16:26 - 05 sept 2025 16:38 #41 door Pecje
Beantwoord door Pecje in topic Choke afstelling Solex
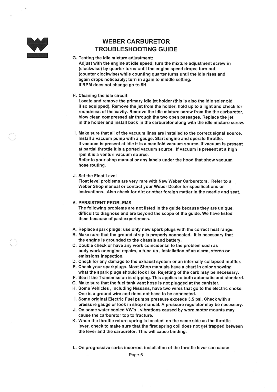
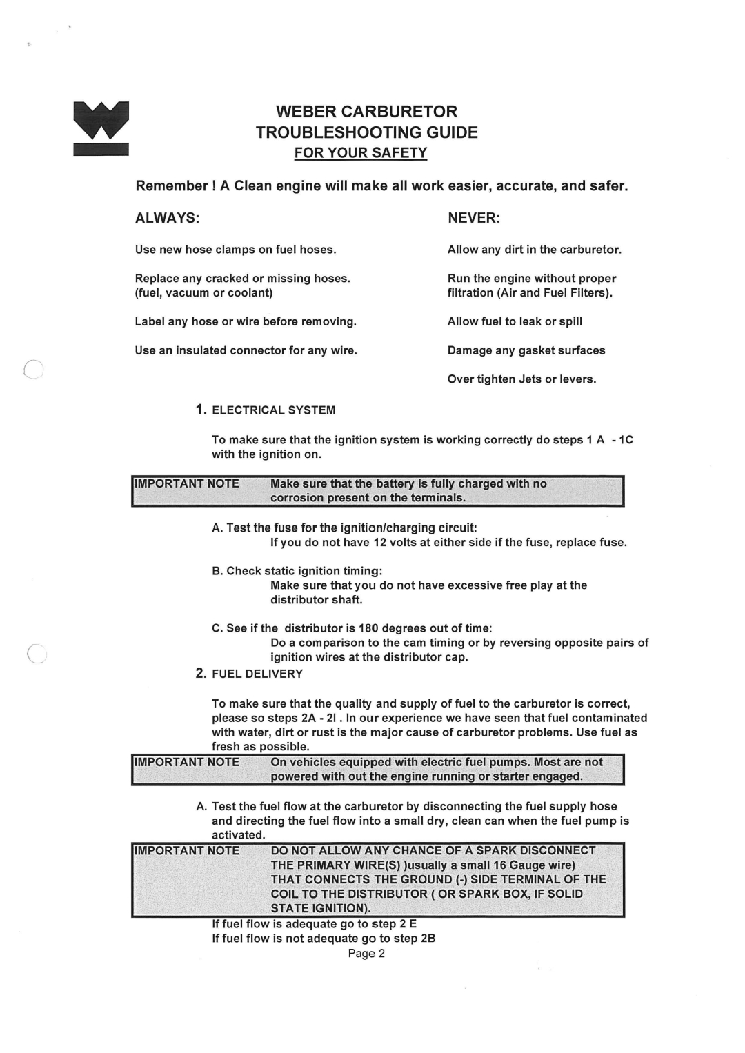
Moet volgens mij kunnen, zou zelf alleen niet weten hoe.Als hij eerst een tijdje goed loopt en pas na 15 minuten problemen gaat geven mag ik aannemen dat de motor al lang warm is en dat de choke al een poos open staat. Dan ga ik er van uit dat die goed staat. Weet je zeker dat de benzinetoevoer op dat moment ook nog gewoon goed is en dat de carburateur nog gewoon benzine krijgt?. Zoals gezegd trekt de tank geen vacuüm.  Laat hem eens draaien met een losse tankdop. Begin al te denken aan iets elektrisch wat voor problemen zorgt bij warmte. Misschien een vapour lock. Ligt je benzineleiding niet te dicht bij warme delen. Maar dan zou je eigenlijk problemen hebben met een warme start. Kijk ook eens naar bijgaande troubleshooting lijst. Is wel voor een Weber, maar dat maakt in grote lijnen niet uit.  
             

"I am green and it'll do fine"
Bijlagen:

Gelieve Inloggen of een account aanmaken om deel te nemen aan dit gesprek.

05 sept 2025 16:40 #42 door Martijnb
Beantwoord door Martijnb in topic Choke afstelling Solex
Hartelijk dank .
de dop had ik eraf ,.. ik denk dat het misschien toch valse lucht is .
hij wisselt ook heel erg in zijn toeren .
de choke klep staat wagenwijd open 

Gelieve Inloggen of een account aanmaken om deel te nemen aan dit gesprek.

05 sept 2025 17:32 - 05 sept 2025 17:34 #43 door Pecje
Beantwoord door Pecje in topic Choke afstelling Solex
 

"I am green and it'll do fine"
Bijlagen:

Gelieve Inloggen of een account aanmaken om deel te nemen aan dit gesprek.

06 sept 2025 10:10 #44 door Martijnb
Beantwoord door Martijnb in topic Choke afstelling Solex
Ik ga het controleren 👍👍

Gelieve Inloggen of een account aanmaken om deel te nemen aan dit gesprek.

09 sept 2025 19:30 #45 door Jos
Beantwoord door Jos in topic Choke afstelling Solex
ik heb vorige week een pb gestuurd, misschien dat je het gemist hebt

Gelieve Inloggen of een account aanmaken om deel te nemen aan dit gesprek.

09 sept 2025 20:19 #46 door Martijnb
Beantwoord door Martijnb in topic Choke afstelling Solex
Hey Jos , ik zie het nu !! 
wat aardig dat je wilt helpen , ik besloten na wat ik allemaal heb gelezen over deze Solex carburateur om even te sparen voor een goede Weber .
ik ben bang dat die Solex me blijft irriteren 😉😂😂😂

Gelieve Inloggen of een account aanmaken om deel te nemen aan dit gesprek.